|
1.はじめに 那賀川町における読書の状況を把握するために、読書調査班では、読書調査アンケート及び座談会を行い、分析・考察をこころみた。 キーワード:那賀川町.読書.図書館.公共図書館.移動図書館.学校図書館.
2.調査の目的と方法について 調査の目的は、読書と図書館に関する那賀川町民の意識と実態を調査することによって、今後の図書館活動推進の参考にするためである。今回の調査では、町内の全小中学生の保護者を対象に、「読書と図書館に関するアンケート」を実施するとともに、読書施設の実態を把握するために、「読書に関する座談会」を開き、那賀川町教育委員会・町立図書館・図書館ボランティアの方々から意見を聞いた。
3.那賀川町の図書施設について 那賀川町内には、平成6年7月20日に開館したばかりの町立図書館がある。開館時の蔵書数は5万冊で、毎年1万冊を購入し、5年後には10万冊になる予定で、町立図書館としては、県内トップクラスである。サービスの内容も、開館時間は午前10時から午後6時まで(金曜日は午後7時まで)、土曜日曜の開館、貸し出し冊数無制限、本の予約・リクエストへの対応など充実している。また、10月からは、週に3日間那賀川町内22か所を移動図書館車が運行される予定である。読書調査をした時期は、図書館が開館してまだ半月もたっておらず、図書館の利用の浸透もまだまだこれからという時期に重なったといえる。 町立図書館開館前までは、町内に二つの公民館図書室があり、専従者が常駐して予約・リクエストサービスにも取り組んでいたため、年間約2万冊の貸し出しがあった。公民館図書室の貸し出し冊数としては、非常に高い数値である。図書館開館と同時に専従者が移行したため、現在、図書室は運営されていない。 また、那賀川町内には小学校2校と中学校1校があり、各校に学校図書室が設置されている。専従者はおらず、開室時間も昼休みや放課後等に限られている。各校とも図書室が手狭になり、本の収容能力がなくなってきている状態である。よく読まれているのは、新しく購入した本や、まんがの入った歴史・科学のシリーズものである。少し前の古くなった世界文学全集や名作シリーズはほとんど借りられていないようである。中学校では、まんがも生徒からのリクエストによって購入している。中学校は町立図書館と道を挟んで向かい合わせており、放課後生徒がよく利用しに行っている。

4.読書と図書館に関するアンケートについて アンケートは、平成6年7月に町内の小学校・中学校を通じて各家庭に配布し、その児竜・生徒の成人家族1名ずつに回答していただいた。回答者数は、男性102人、女性402人、性別不明2人、合計530人(表1、図2)。30代・40代の人が有効回答者の94%を占め、また女性が全体の81%を占めており、回答者の年代及び性別に偏りが生じている。 各問ごとに回答の集計を表と図に示し、考察を後述した。なお、図・表中のパーセント値は、各設問における、無回答を除いた有効回答者数に対する割合である。 〔回答者の性別・年代別について〕

 
〔情報や知識を得る手段について〕 問1 あなたは、知りたい情報や知識を何から得ていますか。(主なもの二つに○を) 1.新聞 2.雑誌 3.本 4.テレビ 5.ラジオ 6.その他

 分析: 回答は、他町の調査と同様、新聞とラジオに集中している。日常必要な情報を新聞・テレビから得ているというのは、社会的実態としては、そのとおりであろう。 しかし、個人の「知りたい」情報が新聞・テレビから本当に「得られるか」については、疑問が残る。両者共に、それ自体としては、保存機能・検索機能に問題があるからである。 大量の情報が氾濫(はんらん)する情報社会において、個人の情報収集・保存・検索機能を補完する機関としての公共図書館の役割は、ますます増大していくと思われる。
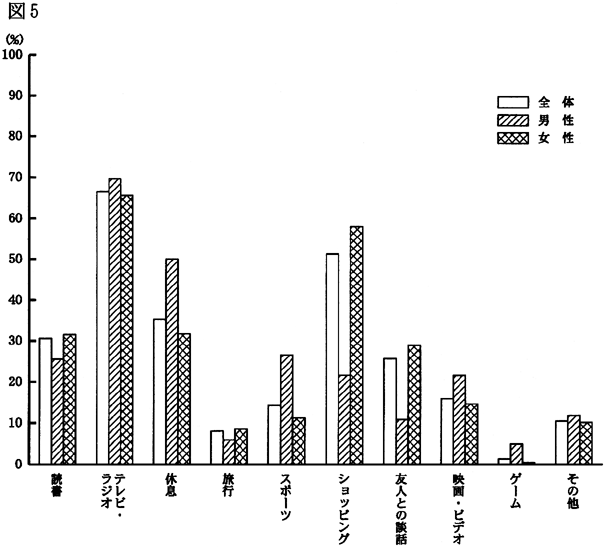
〔余暇の過ごし方について〕 問2 あなたは、余暇をどのように過ごしていますか。(三つまで○を) 1.読書 2.テレビ・ラジオ 3.休息(ごろ寝) 4.旅行 5.スポーツ 6.ショッピング 7.友人との談話 8.映画・ビデオ 9.ゲーム 10.その他

 記述回答:手芸(6) 子供と遊ぶ(5) 釣り(4) 家事(3) CD(3) 洋裁(2) 新聞(2) 山歩き(2) 子供のクラブ観戦(2)など 分析: 男性の場合は、テレビ・ラジオ、休息(ごろ寝)、スポーツに続き、読書は4番目となっている。女性の場合も、テレビ・ラジオ、買い物、休息(ごろ寝)に続き、読書は4番目になっており、他町と比較するとやや読書のランキングが高いことが注目される。 余暇の過ごし方として、テレビ・ラジオがトップであることは、他町の調査でも同様である。特に、テレビは、多チャンネル化、文字放送、各種電子機器との接続などにより、マルチメディアとして今後ますます万能なものになることが予想される。
〔読書量について〕 問3 あなたは、1か月間に平均何冊の本を読みますか。(雑誌、漫画は除く) 1.1冊以下 2.2冊 3.3冊 4.4冊 5.5冊以上 6.読んでいない

 分析: 男女とも1冊以下が約40%で最も多くなっている。次いで多いのが、男性では読んでいないが17.6%、女性では2冊が20.0%となっている。全体的にみると、本を読んでいると答えた人の割合が約80%を占める。1冊以下から4冊までだんだんに減少しているが、5冊以上読んでいる人は4冊の人より多く8.7%となっている。性別にみてみると、2冊と答えている人は男性より女性が多く、3冊と答えている人は女性より男性が多くなっている。座談会で男性の図書館利用が少ないという発言があったが、読書量の面からいえば、男性は、かならずしも女性より少ないとは言えないようだ。
〔読書の目的について〕 問4 あなたは、どんな目的で本を読みますか。(主なもの二つに○を) 1.楽しみのため 2.趣味や娯楽に役立てるため 3.教養を高めるため 4.子供の教育のため 5.仕事にいかすため 6.家庭生活に役立てるため 7.その他( )

 分析: 全体でみると、楽しみのためが50.0%で最も多く、趣味や娯楽に役立てるためが37.3%、家庭生活に役立てるためが26.8%、教養を高めるためが24.1%と続いている。読書を楽しみのものと感じている人が多いようだ。これを直接的な読書とするなら、何かをするために本から必要な知識を得たり、一層深く理解するためのよりどころにしている間接的な読書をしている人も全体でみるとかなり多い。性別で比較すると、子供の教育のためとしている人が、女性の15.7%に対し男性の4.0%、家庭生活に役立てるとしている人が、女性の30.0%に対し男性の13.0%。また、仕事に生かすためとしている人が、男性の36.0%に対し女性の17.0%となっていて性差がよく出ている。
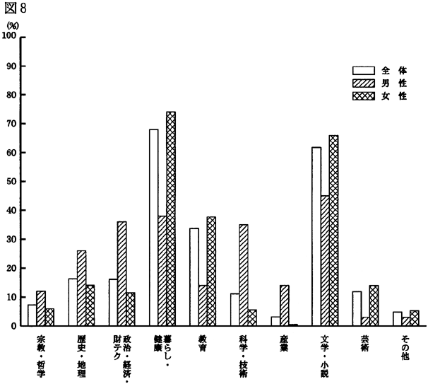
〔これから読みたい本について〕 問5 あなたは、これからどんな種類の本を読みたいですか。(三つまで○を) 1.宗教・哲学 2.歴史 3.政治・経済・財務テク 4.暮らし・健康 5.教育 6.科学・技術 7.産業 8.文学・小説 9.芸術 10.その他( )

 分析: 一番多いのが暮らし・健康で、67.9%の人が読みたい本に挙げている。ただ、女性が74.0%なのに対し、男性は半分の38.0%にとどまっているのが特徴的である。次に多いのが文学・小説の61.8%である。男性だけをみてみると、芸術を除く広い分野に関心が あることがうかがえ、それぞれの個性が感じられる。女性と比べて目立つのが、科学・技術、政治・経済・財テクが多い点である。また、女性だけをみてみると、暮らし・健康と文学・小説が圧倒的に多く、次いで教育と続く。関心のある分野は特定化しており、産業、科学・技術、宗教・哲学は極端に少ないことがわかる。
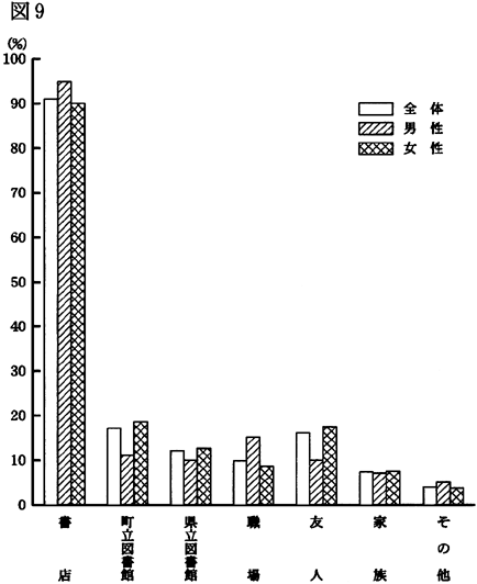
〔本の入手先について〕 問6 あなたは、読みたい本をどこで手に入れますか。(二つまで○を) 1.書店 2.町立図書館 3.県立図書館 4.職場 5.友人 6.家族 7.その他( )

 分析: 読みたい本を書店で入手すると答えた人が、全体の91.0%にもなる。男女別にみても、男性94.9%、女性90.1%にも上る。町立図書館や県立図書館等の公共の読書施設を利用する人は、29.4%で全体の約3割になる。男女別にみてみると、男性(21.2%)より女性(31.3%)の方が図書館を利用している。男女別に上位から挙げると、男性は(1.書店 2.職場 3.町立図書館)、女性は(1.書店 2.町立図書館 3.友人)となっている。
〔町立図書館・図書室の利用の有無について〕 問7 あなたは、この1年間に町立図書館や公民館図書室を利用したことがありますか。 1.ある(利用回数 a.1〜3回 b.4〜11回 c.12〜24回 d.25回以上) 2.ない

   分析: 町内の公共の読書施設を利用したことがない人が、全体の74.0%で約4分の3を占めている。利用したことがあると答えた人は、全体の26.0%で約4分の1となっている(図9)。利用回数の内訳でみてみると、1〜3回と答えた人が11.8%と一番多く、利用回数がふえるほど回答者数が少なくなっている。ただ、このアンケート調査が町立図書館ができて間もなくだったころに行われたため、現状の平均的数値が得られたわけではない。
〔町立図書館・公民館図書室を利用しない理由について〕 問8 (問7で、「ない」と答えた人に)どのような理由で、町立図書館や公民館図書室を利用しないのですか。(二つまで○を) 1.利用したい本が無い(少ない) 2.開館時間中に利用できない 3.設備や快適さに欠ける 4.本は買って読みたい 5.近くに図書館や公民館がない 6.その他( )

 記述回答: 時間がない(15) 知らなかった(4) 面倒(1) 興味がない(3) 期限内に読めない(2) どこにあるかわからない(1) 分析: 開館時間中に利用できないという理由を選んだ人が全体の37.5%で、男女とも一番多く、次いで近くに施設がないが26.9%、買って読むが17.6%、本がない(少ない)が11.4%と続く。男女とも同順位だが、本がない(少ない)を理由に挙げているのは、男性(16.8%)の方が女性(9.9%)よりやや多い。問5での読みたい本の分野の結果を反映しているとすれば興味深い。
〔子どもの読書に対する期待〕 問9 あなたは、お子様の読書に何を期待しますか。(二つまで○を) 1.こども自身が楽しんで読めること 2.創造力を養い、心を豊かにすること 3.知識を増し、視野を広げること 4.文字がよく読め、読解力を増すこと 5.本をきっかけにして、親子の交流をはかること 6.子供の読書にあまり関心がない 7.その他( )

 記述回答:いろいろな本に興味をもってほしい.好奇心が豊かになるよう. 分析: 男女ともに、創造力を養い心を豊かにすること、子ども自身が楽しんで読めること、知識を増し視野を広げることを、約半数の人が挙げている。多数の人が子どもの読書に対して心身の発達を望んでいることがわかる。子どもの読書にあまり関心がないという項目に回答したのは、わずか1.3%である。
〔COMET
について〕 問11 家庭からパソコン等を通じて、県立図書館等の情報を利用できる徳島県文化情報システム(COMET)が、平成2年から稼働していますが、あなたはこのことについてご存じですか。 1.知っている 2.知らない 3.登録している

 分析: COMET
について知っていると答えた人は13.7%、知らないと答えた人は85.1%であった。COMET
を管理している県立二十一世紀館に登録件数を問い合わせたところ、県内個人登録数は1127件、那賀川町個人登録数は12件とのことであった(1995年1月10日現在)。今後は、COMET
の文化情報も、町民(県民)へのより一層の PR
と情報機器の各家庭への普及により、多くの利用が期待される。
〔図書館への要望について〕 問12 あなたは読書に関して、町立図書館や県立図書館に何を望みますか。 ・町立図書館〔 〕 ・県立図書館〔 〕 町立図書館:誰でも気軽に利用できる図書館に(30)、蔵書の充実[幅広い分野の本.専門書を多く.豊富な資料.豊富な新刊書.まんが・雑誌を多く.外国の絵本の充実.英語のビデオテープの充実.児童書を多く.趣味の本や健康の本を](24)、開館時間の延長[夜間開館](21)、静かで快適な環境に(7)、祝日の開館(5)、個別に学習できる環境に(4)、本の案内や紹介を(2)、読書会や催しを(2)、貸し出し期間と冊数の制限をして多くの人に本がわたるように(1)、町財政を考慮してほしい(3)、何も期待していない(3)。 県立図書館:蔵書の充実[趣味の本.専門書の充実.新刊書を多く.幅広い分野の本.](13)、開館時間を延長してほしい(9)、祝日を開館してほしい(5)、読書案内や本の紹介(3)、貸し出し期間の延長(3)、返却本を近くで返したい(3)、遠いので利用しにくい(2)、自習コーナーの設置(2)。 ( )内の数字は回答者数 分析: 町立図書館に対しては、利用しやすい環境や蔵書の充実、利用時間の延長を求める声が回答の中では多く寄せられた。また、何も期待していないなど、アンケートを実施した期間が図書館オープン数日後であるため、利用者への周知が十分でなかったと考えられる意見もあった。今後、町立図書館の利用者へのより密接なサービスや対話が求められている。 県立図書館に対しても、町立図書館と同じような要望が出されている。今後は、県内の図書館コンピュータネットワークを通じ、町村立図書館からのリクエストをよりスムーズに提供できることが要求される。もちろん、地元の図書館を通じて県立図書館等の本が借りれるシステムを住民によく知ってもらう
PR
も必要である。
5.座談会 名 称 読書と図書館に関する座談会 日 時 平成6年8月5日(金)午後2時〜 場 所 那賀川町立図書館視聴覚室 参加者 図書館ボランティアの会の皆さん15名、町教育委員会主幹、町立図書館司書1名、読書調査班5名 7月20日の町立図書館オープン以前から敷地内の草抜きなどでバックアップをしてきた「図書館ボランティア」の方々に集まってもらい、読書や新図書館について語っていただいた。 現在開館したばかりで、夏休み中ということもあって、子どもの利用は多いが、これから普段の利用はどうなるかという心配の声がきかれた。これについて、普段は仕事で町外へ出ている人が多いため中高年の男の人の利用が少ない気がするし、一方、小さい子ども連れの男性やコンピュータの本を借りる学生の利用は多いが、小説類を借りる男性は少ないのではないかと他のボランティアから感想が出た。利用者層の拡大のために、PR
の徹底や開館時間の延長(現在は18時で、金曜のみ19時まで)、イブニングシアターの実施等の提案があった。現在行われている名画のレプリカの貸し出しや原画展(この時は梅田俊作氏の絵本原画展が行われていた)は、人をひきつける魅力的なサービスと好評である。 図書館サービスの拠点充実に関しては、学校図書室の整備をもっとしてほしいと要望が出た。児童・生徒が月〜金曜は図書室を、土・日は町立図書館を利用するようにできないかと町立図書館の学校図書室への援助を期待している(平島小学校、今津小学校にはすでに配本をしている)。一方、学校以外では、公民館に常時本を置いてほしいとしている。町立図書館のオープンに伴い公民館図書室を閉めたが、代わりに今秋から移動図書館車を運行させる予定だという(図1)。 読書に関する意見では、本はテレビに比べてあとに残るし、心の幸せにつながるなど、読書の良さを述べてくれた。読書離れを止めるために、まんがの導入も良いのではないかという意見があった。確かにまんがの入った名作・文学・歴史ものは子どもに人気があり、これをきっかけに本格的な読書に進む例は少なくないだろう。また、住民各自が心にゆとりと豊かさを持って、町全体で読書熱を盛り上げていくことが大切であるという意見もきかれた。 これから、ボランティアとしては、いろいろな要望を出し合って図書館に提案していき、図書館側から相談を受けたとき、図書館だけでできない部分をお手伝いしたいとしている。
6.まとめ 今回の読書調査は、町立図書館が開館したばかりの那賀川町で行われたということで、今までにない調査といえる。 図書館建設が、行政だけの意見で進められたのではなく、住民の意見も入れたり、専門職を採用して建設準備室を設け、その建築設計にも参加させたということ、また、公民館図書室を利用して図書館活動を始動させていたことなど、興味を持って調査に臨んだ。 前回の調査との比較は必ずしも好ましい方法ではないが、一応の指標としてみると、やはりその成果が表れている。 情報を得るのに雑誌や本を選んだ人は、前回27.7%、今回41.2%。1か月間に本を読まなかった人は、前回30.8%、今回19.3%。1か月間に5冊以上読んだ人は、前回4.7%、今回8.7%。本の入手先で公的機関を選んだ人は、前回8.9%、今回29.6%等々。数値的に図書館(あるいは、公的読書施設)の存在がうかがえた。 一方、アンケート調査が、開館直後だったことから、町立図書館の利用がまだ十分浸透していなかったと考えられる点もみられた。町立図書館や公民館図書室を利用しない理由に、利用したい本がない(少ない)を選んだ人が11.4%、設備や快適さに欠けるを選んだ人が4.6%あったということは、従来の公民館図書室のイメージでの回答とも受けとれる。町立図書館を利用していれば、この点については、少なくともこの数値はでなかったのではないかと思われる。 それらを考えあわせると、同じアンケートを1年後、あるいは2年後に実施するのも、図書館にとっては有意義なことかもしれない。 移動図書館車の運行も始まり、いわゆる本格的な町立図書館としての運営も軌道に乗り、順風満帆であるが、意見の中に、「町の財政を考慮してほしい」、「何も期待しない」等があることも事実である。これらの人々をとり込むことは難しいことではあるが、より多くの人々に親しんでもらい、図書館の存在をより大きなものとしていくことを期待したい。また、どこにもない組織「図書館ボランティア」の方々の、「私たちが図書館を育てる」という力強いバックアップも期待したい。
1)徳島市八万町向寺山徳島県立図書館 |