|
我々医学班は阿波学会総合学術調査の一環として農村医学班の調査と並行して石井町住民の栄養調査を実施した。石井町は徳島市の中心から12kmという地理条件から、良好な住宅地としても人口も年々増加するとともに、都市近郊農業地域として生鮮野菜など阪神方面や徳島市への供給基地として大きな期待が寄せられている。今回、食物摂取量、生活時間、みそ汁の塩分濃度およびアンケート調査を実施し、興味ある結果を得たので報告する。
〈調査方法〉 1)対象 徳島県名西郡石井町農協(本部、浦庄、高原、藍畑)に加入している農業従事者のうち、男性99名、女性115名、計214名に対して栄養調査を実施した。年令は20才代から60才代までで平均男性50.1才、女性49.3才であった。 2)期間 昭和60年7月31日から8月3日までの4日間にわたり実施した。 3)調査項目 a)栄養摂取量 調査を行う数日前に食事調査表を各自に配布し、調査の前日に摂取した食物の種類と目安量を記入してもらい、調査日に持参するように依頼した。調査日には個々の面接により食品モデルを提示し、各自が記入した食品目安量を調査員が再確認したうえでグラム数に換算した。栄養摂取量および食品群摂取量などの算定には徳島大学情報処理センターの電子計算機(富士通FACOM・M360)を使用した。 b)生活時間調査 食事調査日の生活時間を記入してもらい、面接時に調査員が不明確な点を再確認し、生活時間の推定を行った。消費エネルギーは沼尻らの方法を用いた。各労作の活動代謝は以前の報告と同様の値を用いた。 c)みそ汁の塩分濃度 全研社製の食塩濃度計により塩分濃度を測定した。 d)アンケート調査 アンケート用紙を各自に配布、記入を依頼し、面接時に調査員が不明確な点をもう一度説明したうえで、各回答を得た。
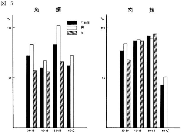
〈結果および考察〉 1)石井町住民の食品群別摂取量 石井町住民の食品群別摂取量は昭和57年度国民栄養調査結果を100%として比較した。(図1)穀類は男性では高いが、女性では低かった。蛋白質食品では豆類の摂取が高いが、その他の蛋白質食品である肉類の摂取量は低く、さらに魚介類の摂取の低さは顕著であった。いも類、砂糖類および油脂類の摂取はいずれも低いが、これは調査期間が夏期であるため嗜好面への影響が大きかったものと思われる。緑黄色野菜および果実の摂取が特に高いのは季節的に緑黄色野菜ではトマトが、果実ではスイカの摂取量が高かったためと思われる。 2)年令別にみた食品群別摂取量 57年度国民栄養調査結果を100%として各食品群の摂取量を30才代、40才代、50才代および60才代に分けて検討した。尚、20才代は対象者が少なかったため考察から除去した。穀類(図2)は男性では各年代で国民栄養調査結果を上回ったが、逆に女性では各年代で下回った。いも類、砂糖類および油脂類(図2、3、4)の摂取は各年代で下回り、年令とともに低くなる傾向を示した。これは季節および年令による嗜好の違いが反映されたものと思われる。 蛋白質食品(図4、5、6)についてみると豆類の摂取は比較的高く、石井町における重要な蛋白供給源になっていると思われる。一方、その他の蛋白質食品である魚介類、肉類および卵類の摂取は低く、特に魚類は女性で、肉類は60才代で低値を示した。重要なカルシウム供給源である牛乳・乳製品および海草類の摂取も全般的に低かった。野菜(図7)についてみると淡色野菜の摂取は特に多くはないが、緑黄色野菜の摂取は極めて高い。これは季節的にトマトの摂取が高かったためと思われる。同様に果実(図8)が高いのは季節的にスイカの摂取が高かったためと思われる。 3)栄養摂取量 栄養所要量(65年度目途)を100%とした時の石井町住民の平均栄養摂取量の比率(%)を図9に示した。摂取エネルギーは所要量をみたしているが、生活時間調査から得られた消費エネルギーに対する比率を求めると、男性では0.94、女性では0.90と消費エネルギーが摂取エネルギーを上回っている(表1)。蛋白質は所要量を上回っているが、脂肪は下回っている。カルシウムはほぼ所要量を充たされているが、鉄は女性で低い傾向がみられた。ビタミンA、B1、B2、C
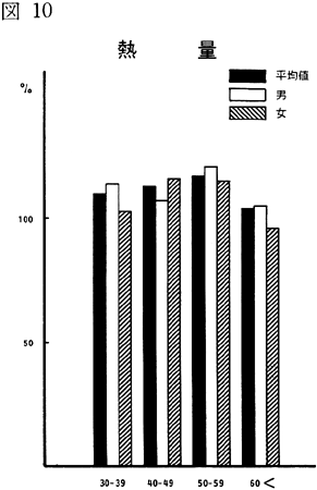
およびナイアシンはいずれも所要量を上回り、特にビタミンCの摂取は顕著となっている。糖質エネルギー比(CE/TE)は所要量にほぼ近い値となっているが、脂肪エネルギー比(LA/TE)は男性でやや低くなっている。 4)年令別にみた栄養摂取量 熱量(図10)、蛋白質、動物性蛋白質(図11)は年令差、男女差とも少なく所要量は満たされていた。一方、脂肪および動物性脂肪(図12)は各年代を通じて所要量を下回っているが、これは油脂類や肉類の摂取の低さによるものと思われる。カルシウムは各年代を通じて男性で低い。鉄は女性で低く特に低年代で不足している。このことは過去の調査結果と同様の傾向であり、適切な栄養指導が望まれる(図13)。ビタミンA、B1、B2、C
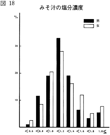
およびナイアシン(図14、15、16)の摂取はいずれも所要量を上回った。 5)みそ汁の塩分濃度 図18はみそ汁の塩分濃度を測定し、その濃度の度数分布を示したものである。横軸は塩分濃度(%)を示している。塩分濃度は1.2%をピークとしてかなりの人が1.0%の標準濃度を越えており全般的に高い塩分濃度のみそ汁を取る人が多い。みそ汁の摂取頻度や、漬物、しょうゆなどの摂取を考えると塩分摂取過剰に注意する必要がある。 6)アンケート調査結果 図19に示すようなアンケートを実施し、栄養意識および食物摂取頻度を調べた。女性の場合食品の組み合わせに注意している人は多く、男性に比べ栄養意識が高いと思われた。緑黄色野菜の摂取頻度は高く食物摂取調査の結果と一致していた。男性の場合みそ汁を一日に2杯以上摂取している人の割合が高かった。また、実際にみそ汁の塩分濃度を測定したところ、比較的高い塩分濃度のみそ汁を摂取している結果を得たが、本人自信が塩辛いと感じている人は少なく、この点からも栄養指導の必要性が考えられる。
〈まとめ〉 今回の調査で特徴的だったのは、緑黄色野菜の摂取が高かったことであるが、ビタミン、ミネラル供給の上から良い傾向にあると思われる。しかし、良質の動物性蛋白質およびカルシウムの供給源である魚介類、牛乳・乳製品の摂取量は低く、栄養指導の必要な食品群であった。また高血圧、脳率中予防のためにも塩分摂取をひかえることが必要であると思われた。 〈参考文献〉 1)鈴木和彦ら:牟岐町住民の栄養調査、郷土研究発表会紀要、23、143、1977 2)山本茂ら:山城町住民の栄養調査、郷土研究発表会紀要、24、131、1978 3)森口覚ら:池田町住民の栄養調査、郷土研究発表会紀要、26、183、1980 4)高間重幸ら:上板町住民の栄養調査、郷土研究発表会紀要、27、79、1981 5)河村純夫ら:鴨島町住民の栄養調査、郷土研究発表会紀要、30、83、1984 6)近藤孝司ら:羽ノ浦町住民の栄養調査、郷土研究発表会紀要、31、87、1985 7)沼尻幸吉:エネルギー代謝計算の実際、第一出版、1978 8)鈴木健ら:公衆栄養、医歯薬出版、1981 9)厚生省公衆衛生局衛生課:昭和57年改訂日本人の栄養所要量、第一出版、1980 10)森口覚ら:農業従事者(徳島県下)の栄養摂取と身体状況、栄養と食糧、33、 No.
5、335〜341、1980 11)森口覚ら:地域別(徳島県下)にみたみそ汁中の塩分摂取量、医学と生物学、 104、1、27〜30、1982



















 |