|
我々医学班は阿波学会総合学術調査の一環として、農村医学班の調査と平行して、鴨島町住民の栄養調査を実施した。鴨島町は、吉野川流域平野のほぼ中央、徳島市の西約20kmに位置し、製造業、卸小売業など第2次、第3次産業のめざましい発展に加え、農業では水稲、野菜、果樹、畜産など多角的経営が行われ、県中央地域における中核的な田園都市として、その将来に明るい期待が寄せられている。今回は食物摂取量調査、生活時間調査、みそ汁の塩分濃度調査を実施し興味ある結果を得たので報告する。
〈調査方法〉 1)対 象 徳島県麻植郡鴨島町の農協(本所、東、森山)に加入している農業従事者のうち、男98名、女77名、計175名に対して栄養調査を実施した。年令は男・女それぞれ20代1名・1名、30代7名・10名、40代27名・29名、50代48名・31名、60代15名・6名で、男平均51.5才、女平均49.5才であった。 2)期 間 昭和58年7月26日から7月29日までの4日間にわたり実施した。 3)栄養調査 a)食物摂取量調査 食物摂取量調査を行う数日前に食事調査表を各自に配布し、調査日の前日に摂取した食物の種類と目安量を記入してもらい、調査日に持参するよう依頼した。調査日には個々の面接により食品モデルを提示し、各人が記入した食品目安量を調査員が再確認をした上でグラム数に換算した。栄養摂取量および食品群別摂取量などの算定には、国民生活センター(東京都港区高輪三丁目13の22)の電子計算機を使用した。 b)生活時間調査 食事調査表に記入を行った日の生活時間をメモしてもらい、面接時に調査員が不明瞭な点を再確認し、生活時間の推定を行った。消費エネルギーは、沼尻らの方法を用いた。各労作の活動代謝は以前の報告と同様の値を用いた。肥満度は標準体重法によった。 c)みそ汁中の塩分濃度の測定 みそ汁中の塩分濃度の測定は、以前の報告と同様に行い、全研社製の食塩濃度計により塩分濃度を測定した。
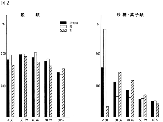
〈調査結果および考察〉 1)鴨島町住民の食品群別摂取量を性、年令、身長、体重、労作強度を考慮し、食糧構成基準を100%として比較すると(図1)、穀類は男、女とも高く、蛋白質食品では肉類・豆・大豆類が高く、魚介類はやや低いが卵類はほぼ基準値を充たした。油脂類、いも類、菓子類は低いが、盛夏の調査であり、嗜好面の影響が大きいものと考えられる。緑黄色野菜、淡色野菜の摂取は高く、特に、淡色野菜はその内訳のほとんどが西瓜によるものであり、このことは果実摂取に影響を及ぼし、摂取を低くしたと思われる。海草類(特にワカメ)の摂取が高いのは、これまでの他の地域と同様であり、徳島県の食物摂取の特徴と考えられる。これは、ワカメの保存性、ワカメに対する嗜好、食習慣等が、魚介類とちがって地理的な制約を受けにくいためであろうと考えられる。 2)年令別にみた食品群別摂取量 図2〜図8は性別、年令別に各食品群の摂取量を1)と同様に食糧構成基準を100%として比較したものである。なお、この図において20才代の対象者が少ないため考察から除去した。穀類は各年令層で高く、男女の差は少なく、砂糖・菓子類は全般的に低いが、女性にやや高い傾向がみられた。摂取量の低かった油脂等は全年令で低く、夏期の影響と思われる。魚介類は全体的にはやや低いが、40才代、50才代にその傾向が強い。逆に、肉類の摂取量は全般的に高く、30才代にその傾向が強い。卵類はほぼ基準摂取量であるが年令が高くなるにつれて摂取量が低くなる傾向がみられた。豆・大豆類は全般的に年令と共に摂取量が高くなる傾向にあった。緑黄色野菜は各年令層でほぼ基準値を示し、淡色野菜は全般に高く前述した夏期の影響と考えられる。イモ類・菓子類は全般的に低く、海草類は各年令層で比較的高く、特に30才代の女性に著名であった。牛乳は全世代を通じて低く、逆に、乳製品が非常に高いのは調査期間が夏であり、アイスクリームなどの摂取が増加しているためであろう。 3)栄養摂取量 図9は各種栄養摂取量を農耕従事者一日あたりの栄養所要量に対する比率としてあらわしたものである。摂取エネルギーは、所要量をほぼ充たしているが、生活時間調査で得られた消費エネルギーと比べると、前回と同様に、男性で0.92、女性で0.91と消費エネルギーが摂取エネルギーを上回っていた(表1)。 蛋白質は動物性蛋白質とも所要量を充たし、脂肪は動物性脂肪とともに所要量を下回った。カルシウム、鉄もほぼ所要量を充たしたが、鉄は女性でやや低い傾向がみられた。ビタミンA、B1、B2は所要量より低くビタミンCは所要量をかなり上回った。 総摂取エネルギーに対する糖質エネルギー比は所要量に比べやや高いが、男女差は少なく、また、脂肪エネルギーもほぼ所要量に近い。 4)年令別にみた栄養摂取量 次に、年令別にその栄養摂取量をみたが(図10〜16)、熱量、蛋白質では年令差は少ないが、動物性蛋白質では60才代においてやや低い傾向を示した。カルシウムは各年令を通じて所要量を充たしているが、ワカメのほかに牛乳などカルシウム供給源の摂取が習慣化すれば、動物性蛋白質や他の栄養素の補充に伴って栄養状態、健康状態がさらによくなり、今後ともさらに取り組みたい問題であろう。脂肪とくに動物性脂肪は所要量をやや下回り、年令とともに低くなる傾向にあった。 鉄は各年令を通じ女性に少なく、ビタミンA、B1、B2も各年令層で所要量より少ない。 ビタミンCは各年令を通じ所要量を充足した。糖質エネルギー比は各年令層で等しく高く、脂肪エネルギー比もほぼ所要量に近く、年令層、男女間の差はほとんどみられなかった。 みそ汁の塩分濃度の度数分布(図17)をみると、1.2%をピークとしてかなりの人が1%の標準濃度を越えており、全般的に高い塩分濃度のみそ汁をとる人が多かった。みそ汁の摂取頻度やみそ汁以外の漬物、しょうゆなどの摂取を考えると、塩分摂取過剰に気をつける必要があろう。
〈食習慣の調査〉 食習慣の調査についてみると(図18)、男性の場合、あまり食品の組み合わせを考えて食事をしない傾向がみられるのに対し、女性の場合は比較的食品の組み合わせに気を配って食事をしていることがうかがえた。 一方、みそ汁については、女性がほとんど1日1杯しか飲まないのに対し、男性の場合は1日2杯以上の割合が全体の45%と高く、前述の塩分濃度と合わせて考えると、男性の塩分濃度のとりすぎをうかがい知ることができる(図19)。
〈まとめ〉 調査期間が夏であり、食欲の低下などを考えると、栄養状態の良否を正確に判定することは因難であるが、ビタミンC以外のビタミンA、B1、B2等の摂取は所要量より少ないと言える。魚介類もやや少ない。また、前述したように、みそ汁の中に入れるワカメの量の多いことを考えると、食塩の過剰摂取をしないような食習慣をつけたいものである。 次に、他の有力なカルシウム供給源のひとつである牛乳の摂取量はかなり低く、時代的背景や嗜好などの問題もあるが、不足しがちな動物性蛋白質、各種ビタミン、ミネラルの補足が同時にできることを考えると、栄養指導の必要な食品、食習慣のひとつであろう。 また、農家という特性を生かし、縁黄食野菜の自家栽培を行い、不足のビタミン補充や繊維摂取量の高い点を保持することも大切である。



















 |