阿波学会研究紀要


このページでは、阿波学会研究紀要論文をご覧いただけます。
 なお、電子化にともない、原文の表記の一部を変更しています。

郷土研究発表会紀要第14号
小松島市の訛音 −児童における「ざ行・だ行・ら行」の混同−

言語学班 神崎哲郎、窪田愛宏、宮岡修一、森重幸

〔I〕概観
〔II〕調査方法
〔III〕調査の分析
〔IIII〕訛りの要因と対策
〔V〕図表

 【I】概観
1.徳島県方言学会は,かねてより本県の訛音,とくに「ざ行・だ行・ら行」の混同について全県的な調査をすすめている。
2.すでに,昭和38年8月の「鳴門市総合調査」に参加し,その中間報告をおこなった。
3.その結果を要約すると,
 イ 従来,本県の訛りは県南海岸地方に多いとされていたが,それは漁業地区に顕著である。阿南市「福井・椿・蒲生田」など,海岸農業関係地区では訛りが少ない。
 ロ 県北海岸地方でも,鳴門市「瀬戸・里浦」・板野郡松茂町「長原」など漁業関係地区に訛りがある。
 ハ 内陸地方では,三好郡山地帯に訛りがみられる。
4.「小松島市総合調査」では,県北・県南の中間地帯である当市の状況をみたが,結果は,やはり漁業関係地区に訛りの多いことがわかった。
   (注 表1参照)

 【II】調査方法
1.「鳴門市総合調査」の場合と同様にした。すなわち,東条操編「日本方言学」の分類語彙表と,本県で従来指摘されていることばを比較対照し,約60語をえらんだ。
   (注 表2参照)
2.これを調査地区の小学校2年生に音読させた。さらに状況に応じて,小学校6年生・中学校3年生にもおよぶようにした。
3.訛音調査の方法については,いろいろと論議があるが,訛りの傾向・程度・他地区との比較などを考え,前記の方法によった。
4.小学校2年生を対象としたのは,つぎの理由からである。
 イ 学校生活になれ,文字を読むことも十分に可能である。
 ロ 学校における訓育期間が短かいだけに,在地の訛音をつよく保持しているのではなかろうか。
 ハ したがって,児童の成長過程におるけ幼児語的な訛り現象を考慮すれば地域社会の訛音傾向をさぐることができるかもしれない。
5.小学校6年生・中学校3年生は,それぞれの最終学年であり,とくに,中学校3年生は言語形成期であることも考えて補助調査の対象とした。
6.小松島市での調査は,つぎの7小学校である。
 1  芝田小学校
 2  児女小学校
 3  北小松島小学校
 4  千代小学校
 5  立江小学校
 6  坂野小学校
 7  和田島小学校

 【III】調査の分析
1.「ざ行・だ行・ら行」の各語を,語頭・語中・語尾につくものに分類し,無作為的に抽出したのが表2の「調査語1」である。これを統計資料とし,他は適宜補助資料に利用した。
2.表3は「調査語1」から訛りの程度をみたものである。たとえば
 3 の「平均訛り率」=訛りの総数/総語数(33×人数)×100
 5 の「訛る人の全体数」=訛る人の数/総人数×100
 7 ・9 ・11 の「各行の訛り率=各行の訛りの数/各行の語数(11×人数)×100
3.3 ・5 の数値が高いほど,多くの者が多くの訛りをもつことをしめす。
4.3 の数値が高く,5 が低い場合は,少数の者が強い訛りをもつことになる。
5.7 ・9 ・11 など,「各行の訛り率」は,「平均訛り率」が低くても,特定の「行」について,強い訛りのある場合をみることができる。
6.小松島市の場合をみると,「和田島」地区にかなり訛りがあるが,他は比較的に少ないようである。
7.以下,男女別・知能との関係・父兄の職業その他の面からみていく。
 (1)男女別による訛り
1.男子の訛りが女子よりも多いのは,「芝田・千代・立江・坂野」の4地区である。他の3地区は,女子の訛りが多い。
2.主観的にみると,男子は積極的な反面,注意が不足して訛りをおこしやすい。これに対して,女子はひかえめで,ていねいなため,訛りも少ないとおもわれるが,実さいにはどうであろうか。
3.現在までの調査経験からみると,訛りの少ない地区では,男女の差はないようであるが,訛りの多い地区では,男子が女子よりも訛る傾向がやや多いようである。
4.くわしいことは今後の調査を通じて考えるべきであろう。
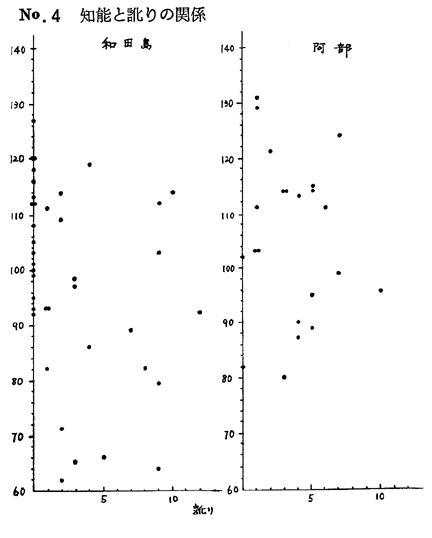
 (2)知能と訛り
1.児童の学業成績と訛りとの関連は考えられそうな観点ではあるが,実さいには分析しにくい面がある。というのは,言語生活は,知能・個性・家庭生活その他の要素が複雑に関連するからである。
2.主観的にみると,知能の高い者は学習面もすぐれており,ことばの訓練も能率的にうけるとおもわれる。それだけにまた,土地の訛りを,つよく体得していたかもわからない。
3.事実,学業がすぐれていて,訛の多い児童もかなりいる。統計的把握が困難なためよくわからないが,現地の先生方の意見として,「低学年児童の訛りは,学業成績と関係がないらしい。しかし,高学年の場合は,学力の劣る者に訛りが多い」とのことであった。
4.なお,訛りの多い海部郡由岐町「阿部」・小松島市「和田島」について,知能指数と訛りの関係をみた。
   (注 表4参照)
5.図表から知能と関係づけるほどのものはみられない。しかし,「和田島」地区の場合,知能指数90以下の者10名は,すべて訛りがあることは注目されよう。
 (3)地域社会の分析
1.訛りの問題で考えられる大きな要素は,地域社会の性格ではなかろうか。
2.「鳴門市総合調査」のさいに分析したように,訛りのある地区では,「平均訛り率」がいずれも2.5%以上である。
3.小松島市の場合,「平均訛り率」が2.5%以上の地区は,「和田島」だけであり,漁業関係地区という点でも前記に共通している。
4.これは,『「和田島」地区のことばが粗雑で,なまりが多い。』という,当市一般人の印象とも一致している。
5.ついで,「立江」地区の児童にやや訛りが多い。当地区は一般的には訛りがないといわれる地方で,「平均訛り率」も2.5%〜3%をこしていない。したがって,一応入門期児童における一般的訛り現象とおもわれる。
6.「坂野」地区は,昭和37年の調査では,かなり訛りがあったが,今回の調査では好転していた。訛りの程度は,いわゆる年いろによっても多少の変化があるようだ。
7.なお,「和田島」地区の「平均訛り率」8.8%は全県的にみても,「椿泊・橘・阿部」などについで訛りが多い。
(4)父兄の職業と訛り
1.「鳴門市総合調査」の報告において,漁業関係者の子弟に訛りが多いことは指摘したとおりである。
2.この傾向は、「牟岐・橘」などのような大きな町でとくにいちじるしい。一方,「阿部・椿泊」などのような,閉鎖的な小聚落では,地区全体の傾向となっている。
3.「和田島」地区の場合では,公務員・社員・商業関係者の子弟に訛りが少なく,漁業関係者の子弟に訛りの多い傾向があった。
   (注 表5参照)
 (5)訛りにみられる特徴
1.表2・3からみると,「だ行■ら行」の混同が多く,「和田島」地区がめだっている。
2.「ざ行」の訛りは比較的少ないが,「和田島」地区は,やはり多い。そこで,「和田島」地区を主としてみていくことにする。
 1  「ざ行■だ行」の訛り
 (a)ざしき→ダシキ  訛り数 7
    おぜん→オデン      1
    ぞうきん→ドーキン    6
 (b)だんご→         0
    なでる→ナゼル      5
    のど→ノゾ        ?
 1.つまり,「ざ行■だ行」の訛りは,「ざ→だ」の場合―それが語頭につくときに多いことが想像できる。これは県内の訛りの多い地方と同様である。
 2.「和田島」地区における「ざ行の訛り率」は,男子―2.6%,女子―8.1%である。そして「平均訛り率」―5.3%は,海部郡「阿部」―21% 鳴門市「里浦」―7.5%についで高い地区である。
 3.なお,県内に一般的な,「ぜ→ジェ」の訛りも,とくに多かった。
2 「だ行ら行」の訛り
 1.「和田島」地区の場合,「だ行の訛り率」は,男子―5.2%,女子―7.7%である。また,「ら行の訛り率」は,男子―14.3%,女子―15.8%である。
 つまり,「だ行の訛り」よりも,「ら行の訛り」が多い。
 2.訛りの傾向を分析すると,
 (a)だんご→ランゴ  ?
でんわ→レンワ  ?
どうろ→ローロ  ?
 (b)せんだく→  0
きゃんでー→  0
うんどうかい→  0
 (c)くだもの→クラモノ  3
むかで→ムカレ  3
まど→マロ  2
 (d)らいおん→ダイオン  10
りんご→ diンゴ  6
れんこん→デンコン  7
ろうそく→ドーソク  4
 (e)くじら→クジダ  6
ぞうり→  0
なでる→ナデdu  10
すみれ→スミデ  8
ふろ→フド  5
 3.以上をまとめると,つぎのようになる。
  イ  語頭の「だ行」は比較的安定している。
  ロ  語頭の「ら行」は「だ行」に訛りやすい。
  ハ  語中・語尾では,「だ行→ら行」よりも「ら行→だ行」の訛りが多い。
 4.さらに,「だ行・ら行」が連続することば,「なでる・おどろく・からだ・はれる」などは,複雑に訛る点で注目される。
 5.また,現地の先生方によれば,児童の訛りやすいことばには,「ろうか・それから・ください・まど」などがある。
 6.つまり,日常よく使うことばは無雑作に発音しやすく,それだけにまた訛りやすい。逆に意味のわからないことば,新しく学習したことばは訛りにくいようである。

【IV】訛りの要因と対策
1.訛りの要因と対策については,すでに「鳴門市総合調査」で報告した。
2.「和田島」のような漁業関係地区では,強い風波の中を,大声で作業・交信する習慣があり,日常生活においても大きな声になりやすかった。そのため,地区外の人には,喧嘩口論とまちがうことすらあるほどである。
3.また,従来閉鎖的だった地域社会では,言語生活への関心などまったく低調であった。
4.とくに,大声で強く発声する傾向は,ことばの第一音を訛りやすくする要因だったとおもわれる。
5.したがって,訛りの矯正も,まずおちついた態度で,おだやかな表現を訓練することがのぞまれる。
6.児童は元気なだけに,注意力の散りやすいこともあるが,おちついた発声や表現の訓練を適宜加味することは,学習効果を低下させるものではなく,むしろ良い影響をもたらすと確信する。
7.これについて,吉原貞子氏が見能林小学校1年生に実施した研究は,有益な成果をあげている。
8.以下,これを引用させていただくと,
 1  自分の,どういう言葉(音)がまちがっているか自覚させる。例えば,「ぶどう」と「ぶろう」のカードを二枚見せて読ませ,一枚がまちがっていることを知らせる。これにテープレコーダーを利用する。
 2  単語カードを読ませる。その中で,まちがわない語を指摘して,自身でもはっきり発音できることをしらせる。
 3  口形指導をする。図解や鏡などを利用する。
 4  教師が発音した単語を,ノートに書かせてみる。
 5  短かい文にまちがいやすいことばを入れて,読んだり,書いたりする。
 6  絵日記を書いたり,それを読み合ったりする。
 7  ふだん話し合いの中に,まちがって発音していないか,担任教師が注意する。
 8  数人が話し合いの場をもち,自然に話しているかどうかを見る。
9.吉原氏は,この実践活動の結論として,「発音異常者は,その環境や習慣による場合が多く,入門期に矯正すれば割合簡単に効果が上る」とせられている。
10.蛇足を加えるならば,訛りの強い児童の口形指導は,類似音からはじめると効果的である。
11.たとえば「ざ→だ」の訛りが強い者は,ざしき・ざっし・ざぶとん」その他すべての「ざ」を「だ」に訛って矯正指導が困難である。
12.このような場合は,訛りにくい類似音「ずこう・ずが」などの「ず」を発音させ,「ズーア」の連続発音から「ザ」を導くようにする。
13.「だ」の指導は,語頭の「だ」を訛りにくいので比較的簡単であった。
14.「ら」の発音困難な者は,口を大きく開かせ,やわらかく発声させる。また,舌端を上口蓋の最奥部に位置させ,やや捲き舌的な「ら」から練習させてもよい。
15.本調査のさいにも,いろいろと指導してみたが,児童がすなおに練習に応じたことは印象的であった。
16.さらに留意すべき点は,訛りの多い地区では,父兄のほとんどに訛りがあることを考慮し,その啓蒙にあたらねばならない。父兄たちが無意識に訛ることばの影響によって,児童の訛りがおこっているのを知ってもらう必要がある。
17.「和田島小学校」では,株木校長先生が国語教育に最重点をおき,とくに読み,朗読について配慮されている。時宜を得たものとして父兄に期待されているが,当地区の訛りは,漸次改善されるものと確信している。

 この調査は,各学校第二学年担任の先生方に御協力いただいた。その他,漁業関係者,地区の方々にもお世話になった。目下整理中であるが,御配慮いただいたことを感謝いたします。

【V】図表

No.1 調査 地点
No.2 調査語
No.3 訛り度

No.4 知能と訛りの関係
No.5 訛りと父兄の職業


徳島県立図書館